Задать свой вопрос
*более 50 000 пользователей получили ответ на «Решим всё»
Задача 59197
...
Условие
600fe3b05d2ce76e3c566a2e
11.04.2021 19:38:02
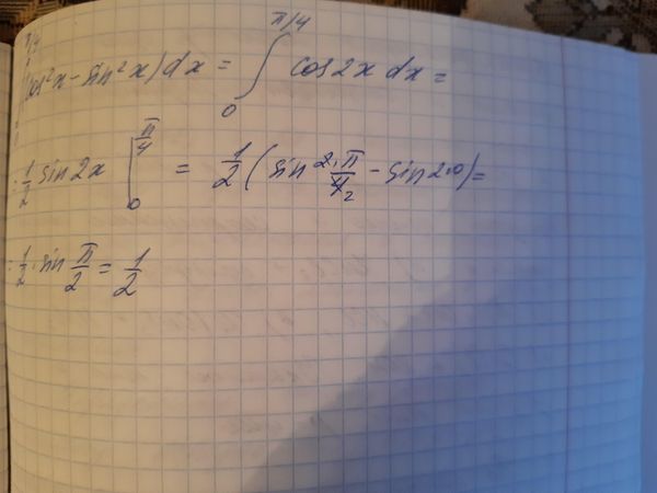
Вычислите определенный интеграл ∫[0,π/4] (cos^2 x - sin^2 x) dx.
математика 10-11 класс
313
Решение
5fd89283ec9d2930a08974bc
11.04.2021 19:58:10
★
Написать комментарий
Меню
Решим всё
Найти задачу
Категории
Статьи
Тесты
Архив задач
Присоединяйся в ВК