Задать свой вопрос
*более 50 000 пользователей получили ответ на «Решим всё»
Задача 59112
...
Условие
606aa793286699463e307d10
07.04.2021 18:49:16
Помогите пожалуйста!
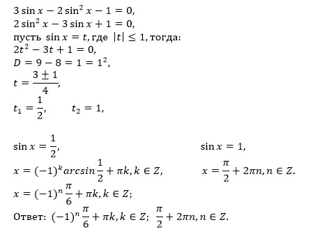
3sinx-2sin²x-1=0
математика 10-11 класс
287
Решение
5f3eaa23faf909182968dde0
07.04.2021 19:16:37
★
Написать комментарий
Меню
Решим всё
Найти задачу
Категории
Статьи
Тесты
Архив задач
Присоединяйся в ВК