Задать свой вопрос
*более 50 000 пользователей получили ответ на «Решим всё»
Задача 59104
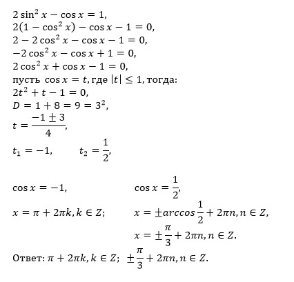
Решить уравнение: 2sin^2 x - cos x=1...
Условие
5f58ae0794ec612a7a933adc
07.04.2021 17:13:09
Решить уравнение: 2sin^2 x - cos x=1
математика 10-11 класс
304
Решение
5f3eaa23faf909182968dde0
07.04.2021 20:02:10
★
Написать комментарий
Меню
Решим всё
Найти задачу
Категории
Статьи
Тесты
Архив задач
Присоединяйся в ВК