Задать свой вопрос   *более 50 000 пользователей получили ответ на «Решим всё»

Задача 58921 Помогите пожалуйста, общий вид...

Условие

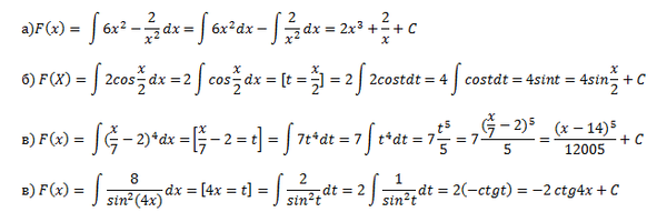
Помогите пожалуйста, общий вид первоначальной

a) f(x) = 6x^2 - 2/x^2

b) f(x) = 2 cos(x/2)

c) f(x) = (x/7-2)^4

d) f(x) = 8/sin^4 x

математика колледж 247

Решение

Написать комментарий

Меню

Присоединяйся в ВК