Задать свой вопрос   *более 50 000 пользователей получили ответ на «Решим всё»

Задача 58436 Используя схему Хорнера, найдите...

Условие

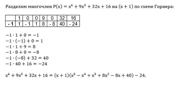
Используя схему Хорнера, найдите знаменатель и остаток многочлена P (x) = x ^ 6 + 9x ^ 3 + 32x + 16, деленного на многочлен x + 1.

математика 10-11 класс 290

Решение

Написать комментарий

Меню

Присоединяйся в ВК