Задать свой вопрос   *более 50 000 пользователей получили ответ на «Решим всё»

Задача 58357 16. Определенный интеграл от 1 до 2 (dx...

Условие

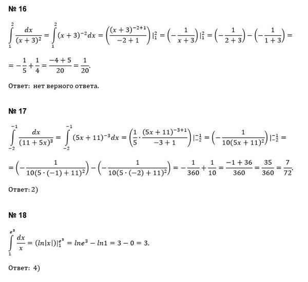
16. Определенный интеграл от 1 до 2 (dx / (x + 3)^2) равен ...
1) ln (2 / sqrt(7));
2) (1 / 2) ln (7 / 4);
3) -(5 / 28);
4) (1 / 2).

17. Определенный интеграл от -2 до -1 (dx / (11 + 5x)^3) равен ...
1) -(5 / 72);
2) (7 / 72);
3) (5 / 72);
4) -(7 / 72).

18. Определенный интеграл от 1 до e^3 (dx / x) равен ...
1) 1;
2) 6;
3) 2;
4) 3.

математика колледж 249

Решение

Написать комментарий

Меню

Присоединяйся в ВК