Задать свой вопрос   *более 50 000 пользователей получили ответ на «Решим всё»

Задача 58105 Применяя метод интегрирования по частям...

Условие

Применяя метод интегрирования по частям , найти интеграл

математика ВУЗ 257

Решение

u=arcsinx
dv=dx/x^2

du=dx/sqrt(1-x^2)
v=-1/x

=(-1/x)*arcsinx- ∫ (-1/x)*(dx/sqrt(1-x^2)=

=(-1/x)*arcsinx+ ∫ dx/(x*sqrt(1-x^2))=

[i]Тригонометрическая подстановка[/i]:

x=sint
dx=cost dt

=(-1/x)*arcsinx+ ∫ cost*dt/(sint*sqrt(1-sin^2t))=

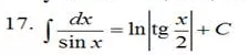
=(-1/x)*arcsinx+ ∫ dt/(sint)= табличный интеграл ( cм. скрин)

=(-1/x)*arcsinx+ ln|tg(t/2)|+C

Теперь надо выразить t через x:
так как x=sint ⇒
t=arcsinx

О т в е т. (-1/x)*arcsinx+ ln|tg(arcsinx)/2|+C

Написать комментарий

Меню

Присоединяйся в ВК