Задать свой вопрос
*более 50 000 пользователей получили ответ на «Решим всё»
Задача 57447
Как решить пошагово уравнение, выделяя...
Условие
5f54df62356816184059ff63
27.01.2021 15:14:08
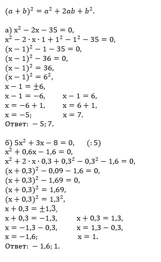
Как решить пошагово уравнение, выделяя полный квадрат: а) x^2-2x-35=0; б) 5x^2+3x-8=0
математика 10-11 класс
419
Решение
5f3eaa23faf909182968dde0
27.01.2021 16:22:28
★
Написать комментарий
Меню
Решим всё
Найти задачу
Категории
Статьи
Тесты
Архив задач
Присоединяйся в ВК