Задать свой вопрос   *более 50 000 пользователей получили ответ на «Решим всё»

Задача 57264 В треугольнике ABC вершины имеют...

Условие

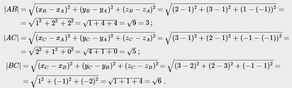
В треугольнике ABC вершины имеют координаты А(1;1;-1), В(2;3;1), С(3;2;1). Найти: длины сторон, внутренние углы и площадь треугольника.

математика ВУЗ 356

Решение

Написать комментарий

Меню

Присоединяйся в ВК