Задать свой вопрос   *более 50 000 пользователей получили ответ на «Решим всё»

Задача 57157 Вычислите площадь фигуры, ограниченной...

Условие

Вычислите площадь фигуры, ограниченной линиями

математика 412

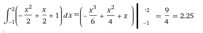
Решение

[m] S= ∫ ^{2}_{-1}(-0,5x^2+x+1,5-(0,5x+0,5))dx=∫ ^{2}_{-1}(-0,5x^2+0,5x+1)dx=\frac{9}{4}=2,25[/m]

Написать комментарий

Меню

Присоединяйся в ВК