Задать свой вопрос   *более 50 000 пользователей получили ответ на «Решим всё»

Задача 56998 Составить уравнение плоскости,...

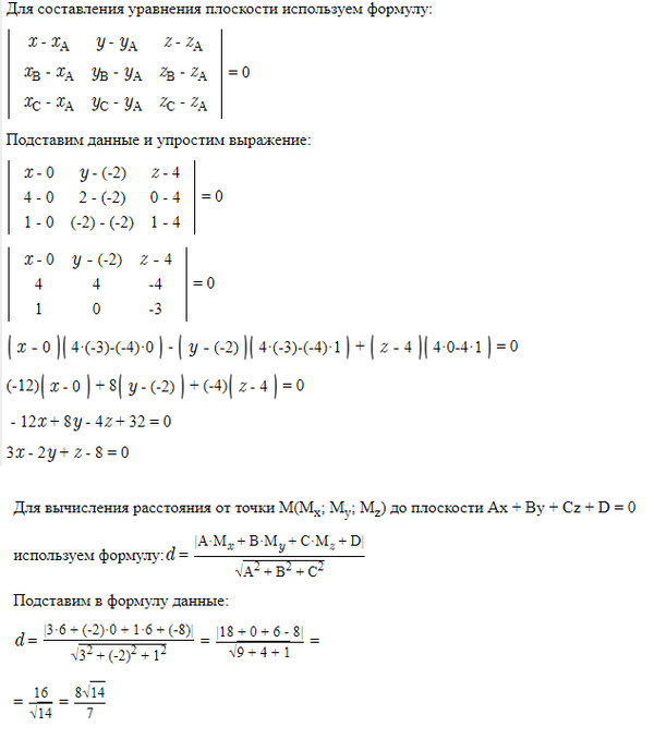
Условие

Составить уравнение плоскости, проходящей через три точки А(0;-2;4). B(4;2;0) и С(1;-2;1). Найти расстояние от точки D(6;0;6) до плоскости АВС.

математика ВУЗ 890

Решение

Написать комментарий

Меню

Присоединяйся в ВК