Задать свой вопрос
*более 50 000 пользователей получили ответ на «Решим всё»
Задача 56803
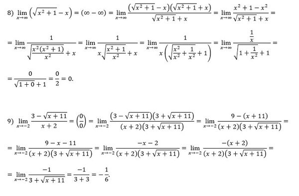
Вычислить пределы функций...
Условие
5ff85d20960c3c35933da9b2
08.01.2021 23:44:21
Вычислить пределы функций
математика
264
Решение
5f3eaa23faf909182968dde0
09.01.2021 08:00:45
★
Написать комментарий
Меню
Решим всё
Найти задачу
Категории
Статьи
Тесты
Архив задач
Присоединяйся в ВК