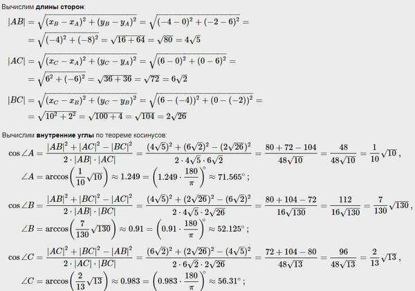
Даны координаты вершин треугольника на плоскости. Найти уровения сторон треугольника, уравнение медианы, биссектрисы и высоты, проведенных из вершины С треугольника АВС. Найти углы треугольника АВС, длину медианы и высоты, проведенных из вершины С.
Данные представлены в табл. №3.




