Задать свой вопрос
*более 50 000 пользователей получили ответ на «Решим всё»
Задача 56777
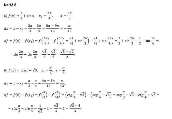
Помогите решить я здесь использовал...
Условие
5f42a255b5ac0b3cc606fbf7
08.01.2021 09:15:10
Помогите решить я здесь использовал формулу f(x)=(x0+del'ta x)-f(x) но не получается
математика 10-11 класс
279
Решение
5f3eaa23faf909182968dde0
08.01.2021 16:04:15
★
Написать комментарий
Меню
Решим всё
Найти задачу
Категории
Статьи
Тесты
Архив задач
Присоединяйся в ВК