Задать свой вопрос   *более 50 000 пользователей получили ответ на «Решим всё»

Задача 56409 Плотность распределения случайной...

Условие

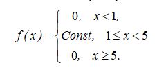
Плотность распределения случайной величины задана законом. Найти математическое ожидание, дисперсию данной случайной величины и вероятность попадания в интервал [2, 7).
С формулами.

математика 10-11 класс 493

Решение

C можно найти из свойства плотности вероятности:
[red] ∫_(- ∞ ) ^(+ ∞ )f(x)dx=1[/red]


Считаем интеграл от данной функции.

Так как функция f(x) задана тремя выражениями рассматриваем интеграл как сумму интегралов:


∫^(+ ∞)_( – ∞) f(x)dx=∫^(1)_( – ∞) 0dx+∫^(5)_(1)Сdx+∫^(+ ∞)_(5)0dx=

=0+Cx|^(5)_(1)+0 =C*(5-1)=4C


С=1/4

По определению:

[blue][m]F(x)= ∫ _{- ∞ }^{x} f(x)dx[/m][/blue]

Поэтому:

при x ≤ 1

f(x)=0
и
F(x)=∫^(x)_( – ∞) 0dx=0

F(x)= 0


При 1 < x ≤ 5

f(x)=1/4

и

F(x)=∫^(1)_( – ∞) x*0dx+ ∫^(x)_(1)(1/4)dx =0+(1/4)*x|^(x)_(1)=(1/4)(x-1)

F(x)=(1/4)*(x-1)

и


При x >5

F(x)=∫^(1)_( – ∞) x*0dx+ ∫^(5)_(1)(1/4)dx+∫^(+ ∞)_(5)x*0dx=

=0+(1/4)*(x)|^(5)_(1)+0=(1/4*)(5-1)=1

[m]F(x)=\left\{\begin{matrix} 0 & , x\leq 1 & \\ \frac{1}{4}\cdot (x-1) &,1 < x \leq 5 & \\ 1& & ,x > 3 \end{matrix}\right.[/m]


P(2<X<7)=F(7)-F(2)=1-(1/4)*(2-1)=3/4


По определению:

[blue][m]M(X)= ∫ ^{+ ∞}_{- ∞ }x\cdot f(x)dx[/m][/blue]


[m]M(X)=\int_{1 }^{5}\frac{x\cdot(x-1)}{4}dx[/m]


считаем самостоятельно

Дисперсию считаем по формуле:

D(X)=M(X^2)-M(X)

[blue][m]M(X^2)= ∫ ^{+ ∞}_{- ∞ }x^2\cdot f(x)dx[/m][/blue]


[m]M(X^2)=\int_{1 }^{5}\frac{x^2\cdot(x-1)}{4}dx[/m]

считаем самостоятельно

и тогда

D(X)=...

Написать комментарий

Меню

Присоединяйся в ВК