Задать свой вопрос
*более 50 000 пользователей получили ответ на «Решим всё»
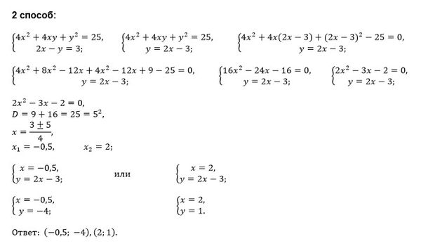
Задача 56306
помогите пожалуйста сделать с полным...
Условие
5f402f0eb5ac0b3cc606fb45
20.12.2020 21:10:38
помогите пожалуйста сделать с полным решением !
математика 8-9 класс
254
Решение
5f3eaa23faf909182968dde0
20.12.2020 21:47:57
★
Написать комментарий
Меню
Решим всё
Найти задачу
Категории
Статьи
Тесты
Архив задач
Присоединяйся в ВК