Решите уравнение:
1) [m]x + 3)(x - 2) - (x + 4)(x - 1) = 3x[/m];
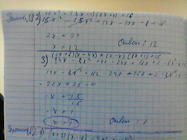
2) 15[m]x^2 - (3x - 2)(5x + 4) = 16[/m];
3) (2x + 6)(7 - 4x) = (2 - x)(8x + 1) + 15;
4) (x + 7)(x - 2) - (x + 4)(x + 3) = -2.
№ 2
Упростите выражение:
1) (x + 3)(x - 7) - 4x(5 - 2x);
2) (x + 2)(y - 6) + (y + 3)(y - 4);
3) (x - 3)(3x + 1) - (2x + 3)(4x - 1);
4) (2a - 3b)(7a + 4b) - (3, 5a + b)(4а - 6b);
5) (m^3 - 3n)(m^2 + 2n) - 4m^3(m^2 + 7n).



