Задать свой вопрос
*более 50 000 пользователей получили ответ на «Решим всё»
Задача 56231
...
Условие
5fdaedd6ec9d2930a0898160
17.12.2020 08:49:49
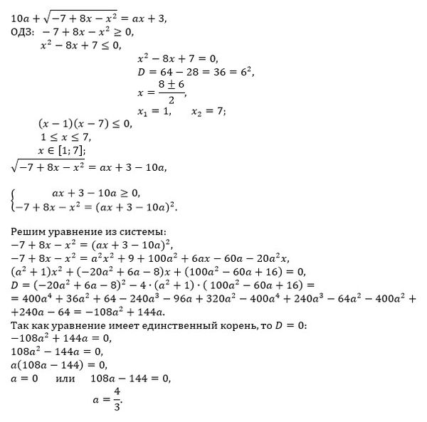
Найти все значения параметра a, при которых уравнение 10a+√−7+8x−x2=ax+3 имеет единственный корень.
математика 10-11 класс
2826
Решение
5f3eaa23faf909182968dde0
17.12.2020 11:28:13
★
Написать комментарий
Меню
Решим всё
Найти задачу
Категории
Статьи
Тесты
Архив задач
Присоединяйся в ВК