Задать свой вопрос   *более 50 000 пользователей получили ответ на «Решим всё»

Задача 55982 Найти значение функции в точке Р (...

Условие

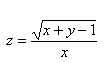
Найти значение функции в точке Р ( -1,2), К (1,9) (+ ЧЕРТЕЖ)

математика колледж 345

Решение

[m]z(P)=\frac{\sqrt{-1+2-1}}{-1}=0[/m]

[m]z(K)=\frac{\sqrt{1+9-1}}{1}=3[/m]

В задании требуется находить значение функции в точках.

Надо понять, что у функции есть область определения

Она определяется двумя условиями: подкоренное выражение не может быть отрицательным
и
знаменатель не может равняться нулю.

Поэтому область определения находится из системы:
{x+y-1 ≥ 0
{x ≠ 0

Неравенство с двумя переменными ( 9 класс) задает на плоскости хоу область,

границей этой области является прямая
[b]х+у-1=0[/b]

или

y=-x+1

Неравенству удовлетворяет закрашенная часть плоскости.

Системе закрашенная часть плоскости без оси Оу ( ось Оу изображаем пунктиром)

Это рисунок [b]области определения.[/b]

А на этой области определения строится поверхность, которую не всегда можно изобразить, можно только представить как она будет выглядеть. Для этого существуют так называемые линии уровня.

Тогда и появляется задание изобразить эти линии.

Написать комментарий

Меню

Присоединяйся в ВК