Задать свой вопрос
*более 50 000 пользователей получили ответ на «Решим всё»
Задача 55924
решить систему уравнений с помощью...
Условие
5fc66a5264081d1dafcb3711
01.12.2020 19:13:57
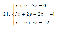
решить систему уравнений с помощью обратной матрицы, методом Гаусса и методом Крамера:
математика колледж
248
Решение
5fbe40a564081d1dafcb1f06
01.12.2020 21:34:37
★
Написать комментарий
Меню
Решим всё
Найти задачу
Категории
Статьи
Тесты
Архив задач
Присоединяйся в ВК