Задать свой вопрос   *более 50 000 пользователей получили ответ на «Решим всё»

Задача 55921 Сквер в форме прямоугольника имеет длину...

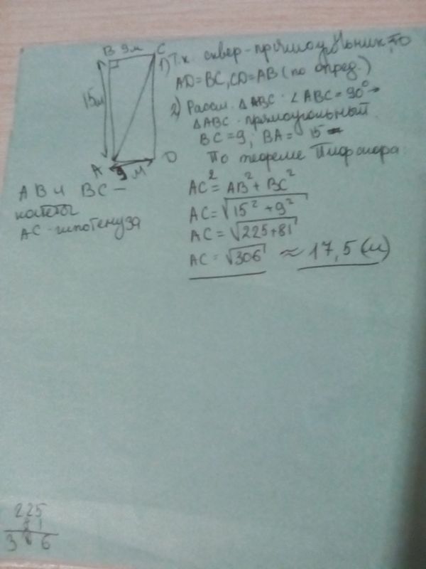
Условие

Сквер в форме прямоугольника имеет длину 15 м. и ширину 9 м. Какова длина прямой дорожки,пересекающей сквер по его диагонали?

математика 8-9 класс 505

Решение

Написать комментарий

Меню

Присоединяйся в ВК