Задать свой вопрос   *более 50 000 пользователей получили ответ на «Решим всё»

Задача 55838 Определите промежутки возрастания...

Условие

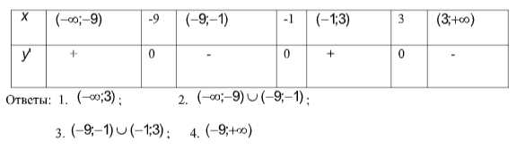
Определите промежутки возрастания функции y=f(x) , используя данные о её производной y^(,)
. (см. таблицу)

математика 943

Решение

Написать комментарий

Меню

Присоединяйся в ВК