Задать свой вопрос   *более 50 000 пользователей получили ответ на «Решим всё»

Задача 55827 Помогите, срочно, с объяснением...

Условие

Помогите, срочно, с объяснением

математика 10-11 класс 249

Решение

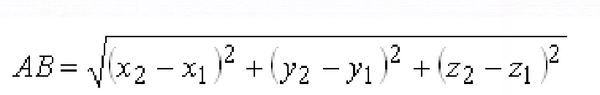
Решайте самостоятельно по формуле:

Все решения

Расстояние между двумя точками вычисляется по формуле:
d=sqrt((x2-x1)^2+(y2-y1)^2+(z2-z1)^2)
d=sqrt((3+1)^2+(-2-2)^2+(3-5)^2)=sqrt(16+16+4)=sqrt(36)=6

Написать комментарий

Меню

Присоединяйся в ВК