Задать свой вопрос
*более 50 000 пользователей получили ответ на «Решим всё»
Задача 54924
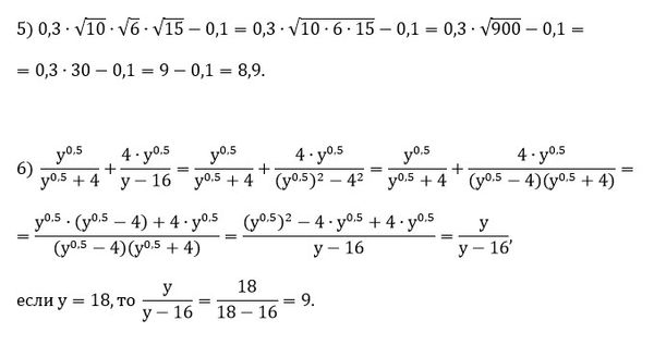
Помогите решить номер 5 и 6 ...
Условие
5f8996282456ed05d805bd0a
24.10.2020 07:00:53
Помогите решить номер 5 и 6
математика
258
Решение
5f3eaa23faf909182968dde0
24.10.2020 09:32:04
★
Написать комментарий
Меню
Решим всё
Найти задачу
Категории
Статьи
Тесты
Архив задач
Присоединяйся в ВК