Задать свой вопрос
*более 50 000 пользователей получили ответ на «Решим всё»
Задача 54892
разделить многочлен на многочлен,...
Условие
5f92805780c7303e80e65df1
23.10.2020 10:04:20
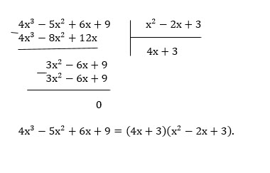
разделить многочлен на многочлен, используя деление столбиком
4х3-5х2+6х+9 на (х2-2х+3)
математика 10-11 класс
894
Решение
5f3eaa23faf909182968dde0
23.10.2020 10:20:16
★
Написать комментарий
Меню
Решим всё
Найти задачу
Категории
Статьи
Тесты
Архив задач
Присоединяйся в ВК