Задать свой вопрос
*более 50 000 пользователей получили ответ на «Решим всё»
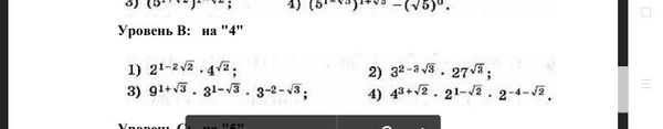
Задача 54849
Помогите решить подробно...
Условие
5f8996282456ed05d805bd0a
22.10.2020 15:39:26
Помогите решить подробно
математика
247
Решение
5f3eaa23faf909182968dde0
22.10.2020 15:54:25
★
Написать комментарий
Меню
Решим всё
Найти задачу
Категории
Статьи
Тесты
Архив задач
Присоединяйся в ВК