Задать свой вопрос
*более 50 000 пользователей получили ответ на «Решим всё»
Задача 54835
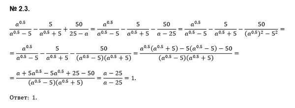
Помогите решить 2.3 подобно ...
Условие
5f8996282456ed05d805bd0a
22.10.2020 12:33:52
Помогите решить 2.3 подобно
математика
241
Решение
5f3eaa23faf909182968dde0
22.10.2020 14:00:26
★
Написать комментарий
Меню
Решим всё
Найти задачу
Категории
Статьи
Тесты
Архив задач
Присоединяйся в ВК