Задать свой вопрос
*более 50 000 пользователей получили ответ на «Решим всё»
Задача 54831
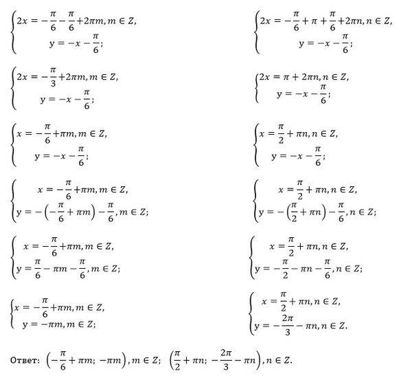
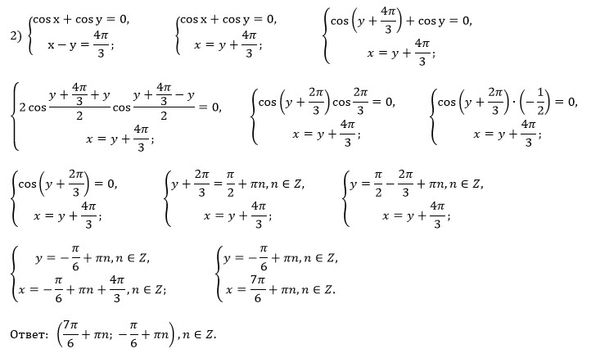
решите систему уравнений, используя...
Условие
5f42a255b5ac0b3cc606fbf7
22.10.2020 12:22:00
решите систему уравнений, используя метод подстановки
математика 10-11 класс
959
Решение
5f3eaa23faf909182968dde0
22.10.2020 12:56:00
★
Написать комментарий
Меню
Решим всё
Найти задачу
Категории
Статьи
Тесты
Архив задач
Присоединяйся в ВК