Задать свой вопрос
*более 50 000 пользователей получили ответ на «Решим всё»
Задача 54792
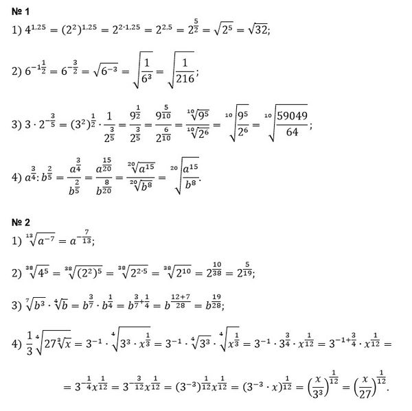
Помогите решить задание 1 и 2 подробно ....
Условие
5f8996282456ed05d805bd0a
21.10.2020 19:15:29
Помогите решить задание 1 и 2 подробно . Срочно
математика
226
Решение
5f3eaa23faf909182968dde0
21.10.2020 21:07:15
★
Написать комментарий
Меню
Решим всё
Найти задачу
Категории
Статьи
Тесты
Архив задач
Присоединяйся в ВК