Задать свой вопрос
*более 50 000 пользователей получили ответ на «Решим всё»
Задача 54657
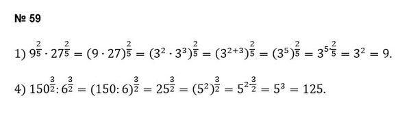
Помогите решить номер 59 задание 4) и 5)...
Условие
5f8996282456ed05d805bd0a
19.10.2020 20:29:03
Помогите решить номер 59 задание 4) и 5)
математика
251
Решение
5f3eaa23faf909182968dde0
19.10.2020 21:24:30
★
Написать комментарий
Меню
Решим всё
Найти задачу
Категории
Статьи
Тесты
Архив задач
Присоединяйся в ВК