Задать свой вопрос
*более 50 000 пользователей получили ответ на «Решим всё»
Задача 54655
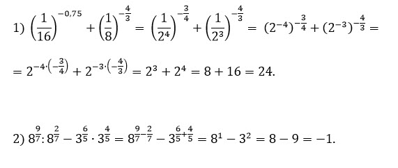
Помогите решить пример 1 и 3...
Условие
5f8996282456ed05d805bd0a
19.10.2020 20:23:25
Помогите решить пример 1 и 3
математика
288
Решение
5f3eaa23faf909182968dde0
19.10.2020 21:38:45
★
Написать комментарий
Меню
Решим всё
Найти задачу
Категории
Статьи
Тесты
Архив задач
Присоединяйся в ВК