Задать свой вопрос   *более 50 000 пользователей получили ответ на «Решим всё»

Задача 54631 ...

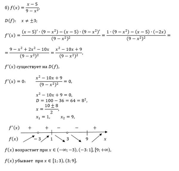
Условие

[b][r][red]Для функции ƒ (x) найдите промежутки возрастания (убывания) функции, если:
б) ƒ (x) = x-5/9-x^2 (x-5 числитель, 9-x^2 знаменатель)
г) ƒ (x) = ln x - 4,5x^2[/red][/r][/b]

математика 10-11 класс 316

Решение

Написать комментарий

Меню

Присоединяйся в ВК