Задать свой вопрос
*более 50 000 пользователей получили ответ на «Решим всё»
Задача 54622
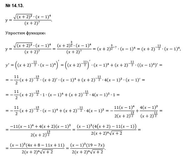
Продифференцировать данные функции...
Условие
5f6c578e019fbf2dafd19ab1
19.10.2020 11:26:03
Продифференцировать данные функции
математика ВУЗ
525
Решение
5f3eaa23faf909182968dde0
19.10.2020 13:13:28
★
Написать комментарий
Меню
Решим всё
Найти задачу
Категории
Статьи
Тесты
Архив задач
Присоединяйся в ВК