Задать свой вопрос
*более 50 000 пользователей получили ответ на «Решим всё»
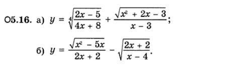
Задача 54618
СРОЧНО! НАЙТИ ОБЛАСТЬ ОПРЕДЕЛЕНИЯ...
Условие
5f522bdd8b85ef59a67d40d3
19.10.2020 09:30:11
СРОЧНО! НАЙТИ ОБЛАСТЬ ОПРЕДЕЛЕНИЯ ФУНКЦИИ!
математика 10-11 класс
289
Решение
5f3eaa23faf909182968dde0
19.10.2020 10:27:44
★
Написать комментарий
Меню
Решим всё
Найти задачу
Категории
Статьи
Тесты
Архив задач
Присоединяйся в ВК