Задать свой вопрос   *более 50 000 пользователей получили ответ на «Решим всё»

Задача 54478 ...

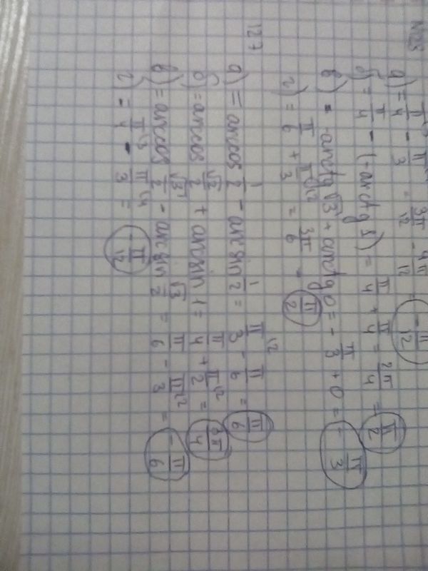
Условие

127. a) arccos (-0,5) + arcsin (-0,5);

б) arccos (- √2/2) - arcsin (- 1);

в) arccos ( - √3/2) + arcsin ( - √3/2 ) ;

г) arccos √2/2 – arcsin √3/2.

математика 10-11 класс 339

Решение

Написать комментарий

Меню

Присоединяйся в ВК