Задать свой вопрос
*более 50 000 пользователей получили ответ на «Решим всё»
Задача 54346
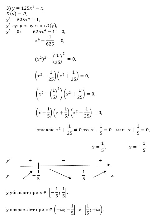
Экстремум функции. Исследование функции...
Условие
5f5f83f2116bb85615e04ac9
13.10.2020 08:09:56
Экстремум функции. Исследование функции на экстремум 4
математика колледж
306
Решение
5f3eaa23faf909182968dde0
13.10.2020 10:41:10
★
Написать комментарий
Меню
Решим всё
Найти задачу
Категории
Статьи
Тесты
Архив задач
Присоединяйся в ВК