Задать свой вопрос
*более 50 000 пользователей получили ответ на «Решим всё»
Задача 54218
Как упростить выражение...
Условие
5f54df62356816184059ff63
09.10.2020 16:08:43
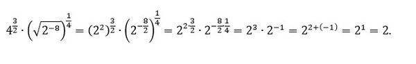
Как упростить выражение 4^(3/2)*(sqrt2^(-8) )^(1/4)
математика 10-11 класс
260
Решение
5f3eaa23faf909182968dde0
09.10.2020 20:39:06
★
Написать комментарий
Меню
Решим всё
Найти задачу
Категории
Статьи
Тесты
Архив задач
Присоединяйся в ВК