Задать свой вопрос
*более 50 000 пользователей получили ответ на «Решим всё»
Задача 54167
Найдите площадь фигуры, ограниченной...
Условие
5f3ead43faf909182968ddf9
08.10.2020 08:30:57
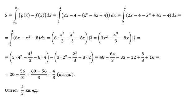
Найдите площадь фигуры, ограниченной графиками функций:
y=x^2−4 x+4 и y=2 x−4
математика 10-11 класс
611
Решение
5f3eaa23faf909182968dde0
08.10.2020 09:14:27
★
Написать комментарий
Меню
Решим всё
Найти задачу
Категории
Статьи
Тесты
Архив задач
Присоединяйся в ВК