Задать свой вопрос
*более 50 000 пользователей получили ответ на «Решим всё»
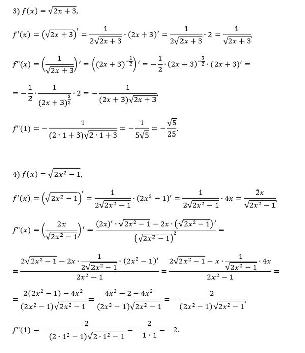
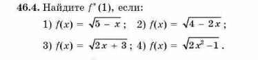
Задача 54119
Вторая производная и ее физический смысл...
Условие
5f5f83f2116bb85615e04ac9
07.10.2020 07:40:45
Вторая производная и ее физический смысл 2
математика колледж
306
Решение
5f3eaa23faf909182968dde0
07.10.2020 15:29:41
★
Написать комментарий
Меню
Решим всё
Найти задачу
Категории
Статьи
Тесты
Архив задач
Присоединяйся в ВК