Задать свой вопрос
*более 50 000 пользователей получили ответ на «Решим всё»
Задача 53913
Найдите область определения функции (по...
Условие
5f6cf18a347ae046112d5363
06.10.2020 10:17:32
Найдите область определения функции (по шагово)
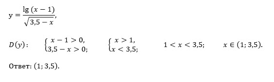
y=lg(x–1)/sqrt(3,5–x)
математика 10-11 класс
464
Решение
5f3eaa23faf909182968dde0
06.10.2020 12:45:27
★
Написать комментарий
Меню
Решим всё
Найти задачу
Категории
Статьи
Тесты
Архив задач
Присоединяйся в ВК