Задать свой вопрос
*более 50 000 пользователей получили ответ на «Решим всё»
Задача 53859
...
Условие
5f54df62356816184059ff63
05.10.2020 07:56:51
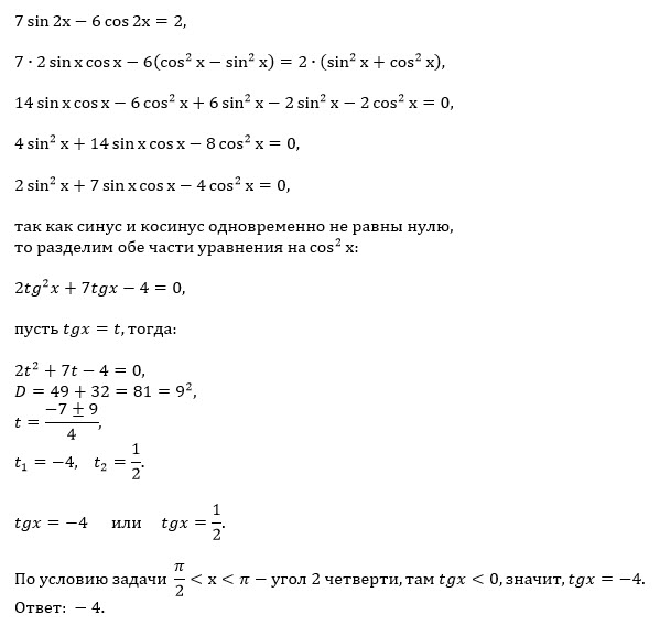
Найти tgx, если 7sin2x-6cos2x=2; π/2<x<π
математика 10-11 класс
471
Решение
5f3eaa23faf909182968dde0
05.10.2020 10:27:14
★
Написать комментарий
Меню
Решим всё
Найти задачу
Категории
Статьи
Тесты
Архив задач
Присоединяйся в ВК