Задать свой вопрос
*более 50 000 пользователей получили ответ на «Решим всё»
Задача 53833
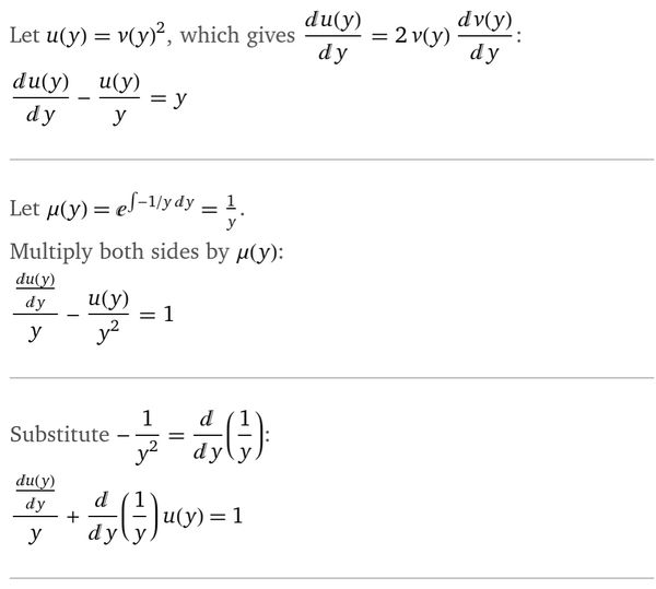
y^2+(y’)^2-2yy’’=0 ...
Условие
5f78d3583c2bbb460a9312bc
03.10.2020 22:40:12
y^2+(y’)^2-2yy’’=0
математика ВУЗ
761
Решение
5f282cfba9074b3a3bc0f013
03.10.2020 23:52:07
★
Написать комментарий
Меню
Решим всё
Найти задачу
Категории
Статьи
Тесты
Архив задач
Присоединяйся в ВК