Задать свой вопрос   *более 50 000 пользователей получили ответ на «Решим всё»

Задача 53292 ...

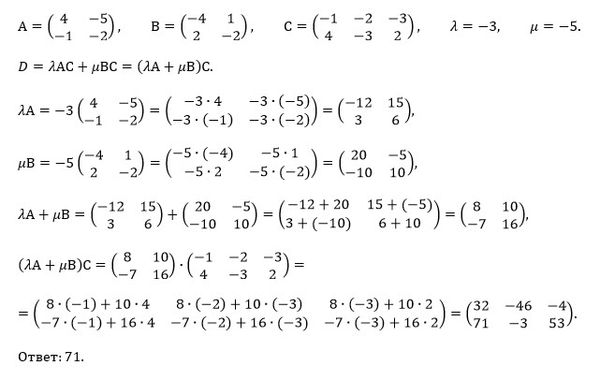
Условие

Найдите матрицу D = λAC + μBC, если
...
В ответ введите значение первого элемента 2-ой строки матрицы D.

математика ВУЗ 289

Решение

Написать комментарий

Меню

Присоединяйся в ВК