Задать свой вопрос   *более 50 000 пользователей получили ответ на «Решим всё»

Задача 53119 ПОМОГИТЕ ПОЖАЛУЙСТА С ПОДРОБНЫМ...

Условие

ПОМОГИТЕ ПОЖАЛУЙСТА С ПОДРОБНЫМ РЕШЕНИЕМ
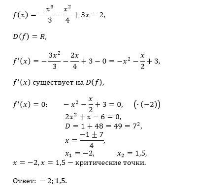
1. Дана функция f(x)=-х^3/3-х^2/4+3х-2 Найдите ее критические точки

математика 10-11 класс 1469

Решение

Написать комментарий

Меню

Присоединяйся в ВК