Задать свой вопрос
*более 50 000 пользователей получили ответ на «Решим всё»
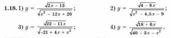
Задача 53046
...
Условие
5f42a255b5ac0b3cc606fbf7
23.08.2020 20:13:47
математика 10-11 класс
258
Решение
5f3ea7e3faf909182968ddd9
07.09.2020 13:15:29
★
Написать комментарий
Меню
Решим всё
Найти задачу
Категории
Статьи
Тесты
Архив задач
Присоединяйся в ВК