Задать свой вопрос
*более 50 000 пользователей получили ответ на «Решим всё»
Задача 32183
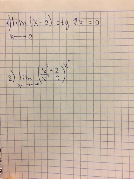
Здравствуйте. Помогите с решением,...
Условие
vk250275119
2018-12-20 11:48:14
Здравствуйте. Помогите с решением, интересует подробное описание решения. Спасибо.
Сергей.
предмет не задан
324
О решение...
На нашем сайте такое бывает редко, но решение к данной задаче еще никто не написал.
Что Вы можете сделать?
Выставите данный вопрос вновь. Перейдите на
главную страницу
.
Найдите похожую задачу. Используйте
поиск
.
Написать комментарий
Меню
Решим всё
Найти задачу
Категории
Статьи
Тесты
Архив задач
Присоединяйся в ВК