Задать свой вопрос
*более 50 000 пользователей получили ответ на «Решим всё»
Задача 27222
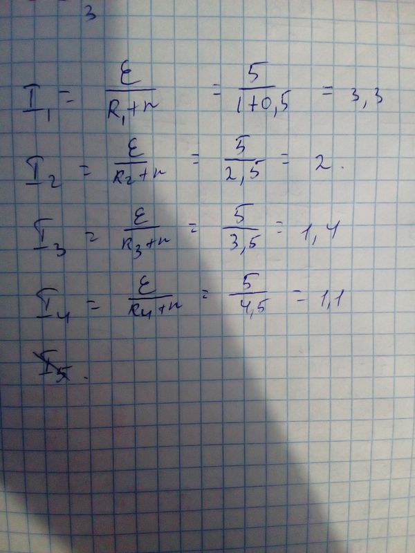
R1=1 Ом R2=2 Ом R3=3 Ом R4=4 Ом E=5...
Условие
Semicvetova
08.05.2018
R1=1 Ом
R2=2 Ом
R3=3 Ом
R4=4 Ом
E=5 В
r=0.5 Ом Найти токи I1, I2, I3, I4.
2161
Все решения
vk187122833
15.05.2018
Написать комментарий
Меню
Решим всё
Найти задачу
Категории
Статьи
Тесты
Архив задач
Присоединяйся в ВК